![]()
ANALISIS KINERJA SIMPANG MENGGUNAKAN PERANGKAT LUNAK KAJI DAN PTV VISTRO (STUDI KASUS : SIMPANG BERSINYAL DAN TAK BERSINYAL PERKOTAAN JEMBER) SKRIPSI
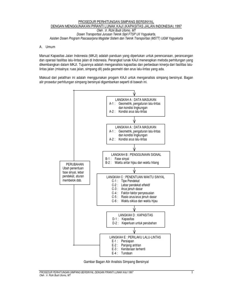
Bahan Pelatihan KAJI Simpang Bersinyal | PDF
EVALUASI KINERJA SIMPANG BERSINYAL GOMONG MATARAM BER- DASARKAN PADA MKJI DAN KAJI 1997

PDF) ANALISIS KINERJA SIMPANG MENGGUNAKAN PERANGKAT LUNAK KAJI DAN PTV VISTRO (STUDI KASUS: SIMPANG BERSINYAL DAN TAK BERSINYAL PERKOTAAN JEMBER)
Tutorial KAJI | PDF
![]()
Bahan Pelatihan KAJI Simpang Bersinyal
![]()
ANALISIS KINERJA SIMPANG MENGGUNAKAN PERANGKAT LUNAK KAJI DAN PTV VISTRO (STUDI KASUS: SIMPANG BERSINYAL DAN TAK BERSINYAL PERKOTAAN JEMBER)
![]()
Top PDF KESIMPULAN DAN SARAN ANALISIS PANJANG ANTRIAN SIMPANG BERSINYAL DENGAN MENGGUNAKAN METODE MKJI (STUDI KASUS SIMPANG JALAN AFFANDI YOGYAKARTA). - 123dok.com
KINERJA SIMPANG BERSINYAL PADA JALAN CUT MEUTIA - JALAN SILIWANGI – JALAN R. A. KARTINI KOTA BEKASI Sebastyan Hadi Prasetyo1),
![]()
Top PDF ANALISIS KINERJA SIMPANG MENGGUNAKAN PERANGKAT LUNAK KAJI DAN PTV VISTRO (STUDI KASUS : SIMPANG BERSINYAL DAN TAK BERSINYAL PERKOTAAN JEMBER) - 123dok.com
ANALISIS KINERJA SIMPANG TAK BERSINYAL EMPAT LENGAN (Studi Kasus Simpang Tak Bersinyal Empat Lengan Jalan Wates Km.5, Gamping,

OPTIMASI PERHITUNGAN KINERJA SIMPANG BERSINYAL MENGGUNAKAN SOLVER - PDF Download Gratis

software | RizkiBeo the Transporter
Evaluasi Kinerja Simpang Bersinyal Antara Jalan Banda - Jalan Aceh, Bandung, Dengan Menggunakan Perangkat Lunak Kaji - MCUrepository

Software OSCADY untuk Simpang Bersinyal | RizkiBeo the Transporter

PDF) Analisis Arus Jenuh di Simpang Bersinyal dengan Metode Time Slice dan MKJI 1997 (Studi Kasus Simpang Sudirman -Yos Sudarso) Saturation Flow Analysis at Signalized Intersections with The Time Slice and IHCM

MKJI) manual kapasitas jalan indonesia
KINERJA KOORDINASI SIMPANG BERSINYAL JALAN RAJAWALI – JALAN GARUDA (SIMPANG I) JALAN RAJAWALI – JALAN TINGANG (SIMPANG II) K
![PERANCANGAN REKAYASA LALU LINTAS MENGGUNAKAN [PDF Document]](https://i1.wp.com/fdokumen.id/img/1/pm-20pelatihan-20kaji.jpg)
PERANCANGAN REKAYASA LALU LINTAS MENGGUNAKAN [PDF Document]

Optimasi Kinerja Simpang Bersinyal Dengan Metode Fuzzy Logic Pada Simpang Lima Diponegoro Kota Madiun - PDF Free Download
PENGEMBANGAN APLIKASI KAPASITAS JALAN INDONESIA (KAJI) PADA SIMPANG BERSINYAL (SIGNAL INTEGRATED) BERBASIS WINDOWS JURUSAN TEKNI
OPTIMASI PERHITUNGAN KINERJA SIMPANG BERSINYAL MENGGUNAKAN SOLVER PENDAHULUAN

Jurnal Teknik Sipil

PDF) Analisis Kinerja Simpang Tak Bersinyal Metode Pedoman Kapasitas Jalan Indonesia 2014
BAB V Repair (XXXX) | PDF

SKRIPSI ANALISA KINERJA SIMPANG BERSINYAL DENGAN MENGGUNAKAN METODE CTM (CELLTRANSMISSION MODEL) PADA RUAS JALAN BASUKI RACHMAT - PDF Free Download
ABSTRAK Perbandingan Kinerja Simpang Bersinyal Berdasarkan Program Kaji dan Sidra ini di Evaluasi dengan menghitung besar tundaa
ANALISIS KINERJA SIMPANG BERSINYAL MENGGUNAKAN SOFTWARE VISSIM (Studi Kasus: Simpang Ngabean Yogyakarta) - E-Journal Universitas Atma Jaya Yogyakarta
Guidance Paper of FSTPT 17
ANALISIS KINERJA SIMPANG BERSINYAL MENGGUNAKAN METODE MKJI 1997 DAN PTV VISSIM (Studi Kasus Simpang Empat Bersinyal Gemangan, Si

EVALUASI KINERJA PADA SIMPANG BERSINYAL SIMPANG BOTOL DAN SIMPANG JETAK KOTA KARANGANYAR - PDF Free Download
ANALISIS KINERJA BAGIAN JALINAN (WEAVING) INTERCHANGE BAROS DAN GERBANG TOL BAROS 1 KOTA CIMAHI, PROVINSI JAWA BARAT LATAR BELAK

6+ Metode Pengembangan Perangkat Lunak (Waterfall, Rad, Agile, Prototype dll) - Salamadian
EVALUASI KINERJA SIMPANG BERSINYAL JL.RAYA JEMURSARI – JL. JEMUR ANDAYANI DENGAN ADANYA PEMBANGUNAN BOX CULVERT
Download MKJI 1997.pdf dan Aplikasi KAJI | Helm-proyeku

ANALISIS PANJANG ANTRIAN SIMPANG BERSINYAL DENGAN MENGGUNAKAN METODE MKJI (STUDI KASUS SIMPANG JALAN AFFANDI YOGYAKARTA) - PDF Download Gratis

PDF) Studi Karakteristik Arus Lalulintas Simpang Tak Bersinyal Jalan Menur Pumpungan Surabaya
123dok Analisis Simpang Bersinyal Menggunakan Software Vissim Studi Kasus Simpang Bersinyal Pelemgurih y | PDF
![]()
PDF) ANALISIS KINERJA SIMPANG BERSINYAL (Studi Kasus | rama bolus03 - Academia.edu
![]()
Top PDF Evaluasi Simpang Bersinyal Antara Jalan Banda - Jalan Aceh Bandung. - 123dok.com
Format Full Paper Seminar Perak MRK

EVALUASI KINERJA SIMPANG BERSINYAL DENGAN MENGGUNAKAN PROGRAM SIDRA DAN MKJI 1997 TESSAR RIZKY PERMANA NASUTION 15 0404 093 Medi

PDF) PERANCANGAN REKAYASA LALU LINTAS MENGGUNAKAN SOFTWARE KAJI

PEMODELAN LALU LINTAS PADA SIMPANG BERSINYAL DI KOTA YOGYAKARTA (STUDI KASUS SIMPANG PINGIT - PDF Download Gratis
![]()
Perbandingan Kinerja Simpang Bersinyal Berdasarkan Program Kaji Dan Sidra (Studi Kasus Simpang Setia Budi - Dr Mansyur Dan Dr Mansyur - Jamin Ginting)
Evaluasi Kinerja Simpang Empat Bersinyal Terusan Pasirkoja Kota Bandung dengan Menggunakan Software KAJI 1.10F 2001 Performance

BAB 1 PENDAHULUAN - .PROPOSAL TUGAS AKHIR EVALUASI KINERJA SIMPANG BERSINYAL JL. Ambengan – Jl

PENENTUAN BIAYA KEMACETAN LALU LINTAS PADA SIMPANG BERSINYAL SGM YOGYAKARTA - PDF Free Download
![]()
Top PDF EVALUASI KINERJA SIMPANG BERSINYAL DI KOTA SURABAYA DENGAN MENGGUNAKAN PROGRAM KAJI (Studi Kasus : Ruas Jalan Ngagel Jaya Selatan ) | Tahir | MEKTEK 354 1205 1 PB - 123dok.com