![diketahui matriks P=[-1 2][3 0] dan Q=[2 3][1 4] matriks (PQ)-1 adalah… - Brainly.co.id](https://i2.wp.com/id-static.z-dn.net/files/d50/d8451e884ec37005483914bd1be73097.jpg)
diketahui matriks P=[-1 2][3 0] dan Q=[2 3][1 4] matriks (PQ)-1 adalah… - Brainly.co.id

Diketahui matriks P=(1214) dan Q=(1241). determinan matriks (PQ) adalah .. - Brainly.co.id

- Diketahui matriks P-1 = (0 1 4 3)dan Q-1 =(-2 0 1 7). Invers matriks PQ - Brainly.co.id

Diketahui Matriks P=( -2 3 -4 -1),Q=(3 -1 4 -2),dan R=(2 -1 -3 5).Hasil dari PQ-R adalah - Brainly.co.id

tentukan vektor p=(6 1) dan q=(2 3) . tentukan hasil operasi berikut A. p+q B. 2p-q C. 1/2(p-q) - Brainly.co.id
![Soal Perhatikan matriks di atas! P=[[2,3],[5,2]]quad Q=[[1,3],[4,2]] Tentukan nilai PQ](https://i3.wp.com/zs-inline.s3.ap-southeast-1.amazonaws.com/production/7/8c/c7d2/78cc7d232bce4136aa608b4655296aca.jpg?efs=https%3A%2F%2Fwww.zenius.net%2Fassets%2Fv-img%2F7%2F8c%2Fc7d2%2F78cc7d232bce4136aa608b4655296aca.jpg)
Soal Perhatikan matriks di atas! P=[[2,3],[5,2]]quad Q=[[1,3],[4,2]] Tentukan nilai PQ

Diketahui titik P(5, 2, –1), Q(4, 0, –3), dan R(2, 3, 3). Jika p = PQ dan q = QR - Mas Dayat

Dik koordinat p(2,-1,3) dan q(3,-3,5). Vektor satuan yang searah dengan vektor pq adalah… a. - Brainly.co.id

SOAL-SOAL MATRIKS 1. Diketahui matriks P = dan Q = maka P.Q …
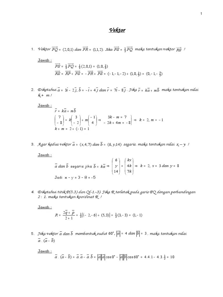
Vektor: PQ PS Jika PR Dan PQ RS | PDF

VEKTOR DI RUANG DITINJAU DARI SUDUT PANDANG ALJABAR - ppt download

Diketahui titik P(2, –1, 3), Q(5, –3, –4), dan R(–7, 8, –5). Tentukan vektor-vektor berikut dala - Mas Dayat

Diketahui titik P(3,-6) dan Q(-1,2). Tentukan panjang vektor PQ!Jawab:

diketahui matrik P (3 -1) dan Q (1 -1) jika P.Q=R,invers matriks R adalah… - Brainly.co.id

Diketahui segitiga PQR dengan P(2, –1, 4), Q(–1, 1, 2), dan R(–3, –2, 6). Tentukan: - Mas Dayat
Soal No | PDF

Soal Diketahui _ dan _. Tentukan hasil dari matriks berikut.. _

1.Diketahui koordinat P(3, -4, 2) dan Q(-1, 4, 5). Tentukan vektor PQ 2.Diketahui koordinat titik A(8, -3, 5) dan B(-2, 2, 0). jika

Jika p=4 dan q=3 serta r=pq/p+2q tentukan hasil p-q/r - YouTube

Diketahui P(4, 2, –3) dan Q(1, 3, –5). Panjang vektor PQ adalah - Mas Dayat

Diketahui titik P (-3, -1, -5), Q(-1, 2, 0) dan R(1, 2, -2). Jika PQ = a dan QR + PR = b, maka a . - Brainly.co.id

Persamaan garis PQ yang sejajar garis AB dan melalui titik (-3,7) dengan A(8,-1) dan B(-2,3) adalah - YouTube
Soal Latihan Vektor | PDF

Soal Titik-titik sudut segitiga PQR adalah P(-1,-2), Q(4,3), dan R(-6,8). A membagi PQ dengan p

Diketahui P(2,-1,-3) R(7,-1,2) PQ:QR = 2:3 Tentukan Vektor Q!

diketahui P(1,-2,5), Q(2,-4,4), R(-1,2,7) maka PQ adalah….. - Brainly.co.id

VEKTOR http meetabied wordpress com Setelah menyaksikan tayangan

Diketahui matriks P=(2 3 1 1) dan matriks Q=(3 4 4 5). Te…

Diketahui titik P(–8, 3) dan Q(4, –3). Titik R adalah sebuah titik pada garis hubung PQ - Mas Dayat

Soal Diketahui titik P(-1,-1),Q(2,3) dan R(5, 3) tentukan panjang proyeksi vektor PQ pada arah
Ulangan Harian Vektor | PDF

tolong bantuin no 7 nya aja tolong - Clearnote

Soal Koordinat titik P(5,-7) dan P(-1,2), jika 3PR=2PQ maka tentukan:
Jika P dan Q adalah titik dengan koordinat (2,-1) dan (-3, 4), tentukan koordinat titik R sehingga PR adalah 2/5 dari PQ. - Quora

jika p = q + 1 tentukan nilai dari (p-q) - Brainly.co.id
![🔴[VEKTOR]🔴|| Diberikan vektor PQ = (2,0,1) dan vektor PR = (1,1,2). jika PS = 1/2 PQ, maka vektor - YouTube](https://i1.wp.com/i.ytimg.com/vi/Oy92sJWloYc/sddefault.jpg)
🔴[VEKTOR]🔴|| Diberikan vektor PQ = (2,0,1) dan vektor PR = (1,1,2). jika PS = 1/2 PQ, maka vektor - YouTube

virra220201 | My iMe

ini tinggal yang nomor 3 doang kak, - Clearnote

Diketahui vektor p = (4 -3 5) dan q = (-2 1 2). Tentukan: - Mas Dayat

4.Jika p=q+1 tentukan nilai dari (p-q)^10 ~ (p-q)^7 : (p-q)3Diteruskan3.Sederhanakan menjadi satubilangan berpangkat.!a.33x32b. M4xmxmc.(1/3)3x(1/3)2=(1/3 )5Diteruskan5.Tentukan

Teori dan Operasi Pada Himpunan - PDF Free Download
SOAL REMIDI VEKTOR
![]()
PDF) 20. Soal-soal Vektor | Luluk Mukarramah - Academia.edu
Soal Vektor | PDF
![Kunci Jawaban] Jika p = 4 dan q = 3 serta r = pq/(p+2q), tentukan hasil dari (p-q)/r ~ ROFA Education Centre](https://i0.wp.com/4.bp.blogspot.com/-6QcpqHChaxA/WUKPvxOdvNI/AAAAAAAACnY/ec1Vd-6dVJUMtWngR416wz5z1T_UpEPLwCLcBGAs/s1600/PG%2BJawaban%2B17%2BBagian%2B2.png )
Kunci Jawaban] Jika p = 4 dan q = 3 serta r = pq/(p+2q), tentukan hasil dari (p-q)/r ~ ROFA Education Centre

Soal 1. Diketahui koordinat titik P(1,-2,0),Q(3,1,-2), dan R(5,7,1). Jika segi empat PQRS berbe

Rumus cepat-matematika-vektor

Diketahui koordinat P(3,2,1),Q(3,2,6) dan R(1,2,1) jika u=PQ-OR dan v=OR+PQ tentukan panjang vektor - Brainly.co.id

Diketahui: S = {1,2, 3, 4,5, …, 10} P = {2,3,5,7} Q…

VEKTOR — SOAL-SOAL DAN PEMBAHASAN

Diketahui vektor-vektor p=(4 5 6) q=(1 -2 3) dan r=(5 -3 2) 1.nyatakan vektor p q dan r kedalam vektor basis i j dan k 2.nyatakan

Pembahasan Soal UN Dimensi Tiga - SMAtika

Contoh soal determinan matriks, transpose matriks dan pembahasan – Soalfismat.com

Diketahui matriks A = (a b -1 4 2 -3 1 1 4), B = (-2 3 1 …

Diketahui koordinat P(3,2,1), Q(3,2,6), dan R(1,2,1), jika vektor u= PQ-QR dan vektor v= QR+PQ, - Brainly.co.id

Diketahui koordinat titik P(5, 3, 2), Q(–1, 1, 3), dan R(2, –1, –4). Tentukan: - Mas Dayat

Matriks X

ANALISIS VEKTOR STKIP BANTEN PROGRAM STUDI PENDIDIKAN MATEMATIKA

Menyatakan Bentuk Sederhana dengan Perbandingan Trigonometri Halaman all - Kompas.com
113 LAMPIRAN VI SOAL UJI COBA Mata pelajaran : Matematika PokokBahasan : Vektor Kelas/Semester : X / 2 Waktu : 90menit Petunjuk

Soal Diketahui titk P(-3,-1,-5),B(-1,2,O), dan C(1,2,-2). Jika a=PQ dan b=QR+PR, tentukan sudut

Menentukan Panjang PQ, Kunci Jawaban Uji Kompetensi 6 Matematika Kelas 8 SMP dan MTS Semester 2 Halaman 45 - Portal Jember

DIAGRAM VENN Diagram Venn adalah penggambaran secara visual untuk melihat beberapa himpunan. Diagram venn ini pertama kali ditemukan oleh ahli matematika. - ppt download

Diketahui titik P(1,3,-2), Q(3,5,4) dan R(-1,-2,5). Tentukan vektor berikut ke dalam bentuk vektor kolom! A. PQ B. QR C. PR
a) *a-o

Soal Latihan Vektor
![Contoh Soal Matriks dan Jawabannya Kelas 11 [+ Cara dan Pembahasan] - Primalangga](https://i3.wp.com/1.bp.blogspot.com/-X4ugj7Ps3P0/XoFYWQ28K_I/AAAAAAAAG1E/JzcvOGIJS2oDUF5aof8YducSvHpEpcUzQCLcBGAsYHQ/s1600/25.png)
Contoh Soal Matriks dan Jawabannya Kelas 11 [+ Cara dan Pembahasan] - Primalangga
Vektor - Tanya MIPI
Jual BUKU MATEMATIKA SMP SAHABAT BELAJAR SISWA MATEMATIKA KELAS 7 Indonesia|Shopee Indonesia
Diketahui matriks A = (3 0 1 2 5 1 -1 0 -2). Tentukan: a….

Tolong bantu jawab cuma no 1, 4 dan 5 - Clearnote

Diketahui koordinat titik P(3, -2, 5), Q(2, 3, 4), dan R(-1, 4, -3). Tentukan: - Mas Dayat

Tentukan KPK dan FPB dari bentuk aljabar dari 12pq dan 8pq2

Soal No. 1 Perhatikan gambar berikut, PQ adalah sebuah vektor dengan titik pangkal P dan titik ujung Q - PDF Free Download

Diketahui vektor PQ dengan titik P (2,5,(-4)) dan Q (1,0,(-3)) .Tentukan a.koordinat titik R jika - Brainly.co.id

Kelas 08 smp matematika s1 siswa 2017 by P’e Thea - Issuu
![]()
Diketahui titik-titik P(−1,3,0) dan Q(1,2,−2). Ten…

Diketahui kubus ABCD.EFGH dengan rusuk 6 cm. Titik P, Q, dan R berturut-turut terletak pada pertengahan ruas garis AB, BC, dan bidang ADHE. Tentukan jarak dari titik P ke titik R dan
![]()
PDF) soal dan pembahasan vektor.pdf | Santhy Rodita Sidabutar - Academia.edu