Sop Bpjs Ugd | PDF
Sop Jaminan Kesehatan | PDF
Sop Rawat Jalan | PDF
Sop Pelayanan Di Poli Umum | PDF

Sop bpjs evp

SOP PRIMARY CARE BPJS
![]()
358990383-Sop-Dokter-Umum-Puskesmas.docx - DOKTER POLI UMUM Nomor Terbit ke No Revisi S Tgl diberlaku O Halaman UPTD Puskesmas Gunting Saga 1 Pengertian | Course Hero
Sop Bpjs Ranap | PDF
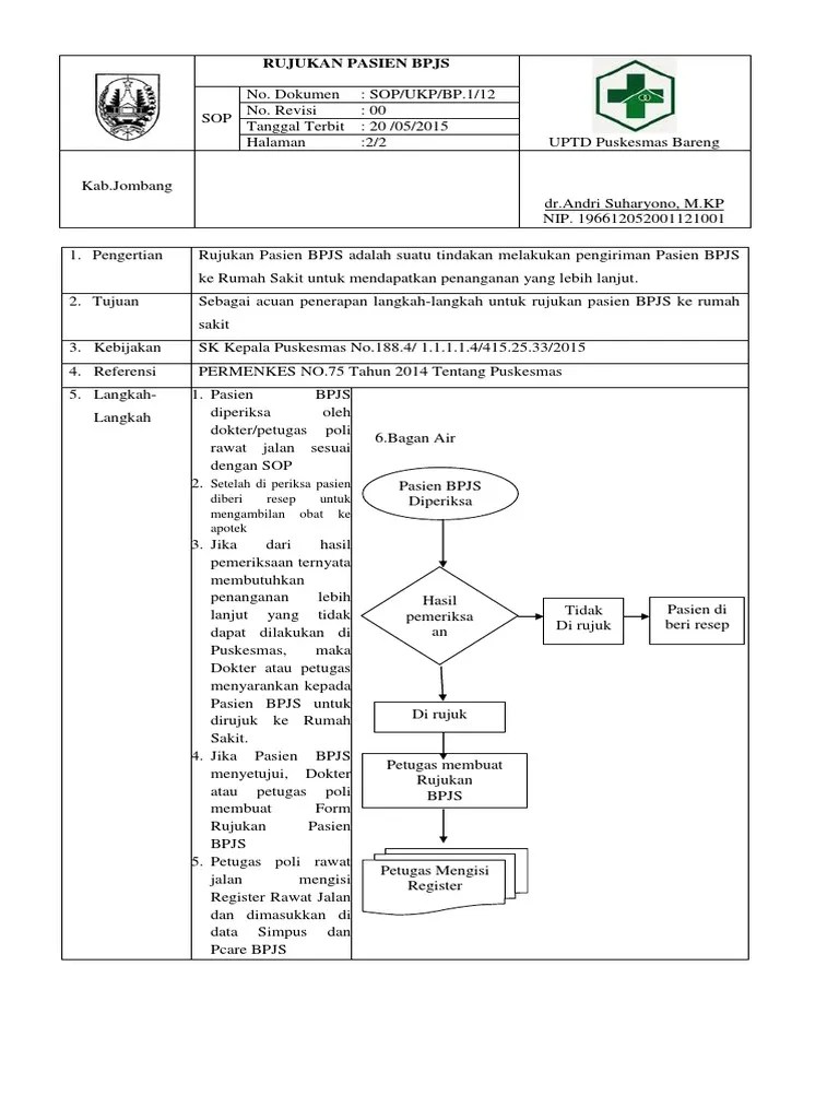
Sop Rujukan Pasien Bpjs | PDF
Sop Rujukan Pasien BPJS Emergensi | PDF

RSUP Dr. Sardjito | Persyaratan Pendaftaran Pasien BPJS
SOP Pelayanan Resep Pasien BPJS | PDF
![]()
Sop Simrs 2016
Sop Klaim Bpjs | PDF
INFOBPJS
Kartu Indonesia Sehat: Pengertian dan Manfaat yang Diberikan - Cermati.com

BPJS Kesehatan Ganti Care Center 1500400 Jadi 165, Ini Penjelasannya › Rumohacehnews

Primary Care (Pcare) BPJS Kesehatan buat Faskes Klinik, Dokter, & Puskesmas - Kembar.pro
BPJS Kesehatan - Sahabat, bagi kalian yang sedang mencari… | Facebook
BPJS Kesehatan - Kemarin, mimin sudah jelasin apa saja… | Facebook

May 2021 - JustMenong
![]()
Analisis Pelayanan Rujukan Pasien Bpjs di RSUD Chatib Quzwain Kabupaten Sarolangun Provinsi Jambi

Begini Alur dan Persyaratan Pendaftaran BPJS Kesehatan Secara Mandiri Halaman all - Kompas.com

LAMPIRAN TINDAK LANJUT HASIL PENGAWASAN DEWAN PENGAWAS - PDF Download Gratis

BPJS Kesehatan Luncurkan Nomor Layanan Care Center 165 – Sentral Berita
![Sop Pelayanan Di Poli Umum [PDF|TXT]](https://i2.wp.com/html.pdfcookie.com/02/2019/12/15/k2p8ooe4y0l9/bg1.jpg)
Sop Pelayanan Di Poli Umum [PDF|TXT]
COVER DEPAN (FILE TERPISAH)

PDF) EVALUASI PENYELENGGARAAN SISTEM RUJUKAN BERJENJANG ERA JKN-KIS
Untitled

7.1.3.3 SOP PENYAMPAIAN HAK DAN KEWAJIBAN PASIEN.docx - PDFCOFFEE.COM

PDF) EVALUASI PROGRAM JAMINAN KESEHATAN NASIONAL (STUDI EVALUASI PROGRAM BPJS KESEHATAN PADA TENAGA KERJA DI SURABAYA TAHUN 2014-2016)

Sop pendaftaran.baru.docx - PDFCOFFEE.COM
002 Sop Program Pelayanan Rujuk Balik | PDF
SOP pelayanan PUSKESMAS SINAR BARU
BPJS Kesehatan - “Saya membantu merawat kakek ketika di… | فېسبوک